
Son símbolos aritméticos para indicar el estado de una operación matemática. Este tipo de operaciones son conocidas como la adición, sustracción, multiplicación y división. (+)(+)= + (-)(-)= + (+)(-)= - (-)(+)= - EJERCICIOS: 2-3+6-4+8= 5 4+4-3+8-0+2= 15 (-4)(-4)(-4)= -64 (-2)(-2)(-2)(-2)(-2)= -32 (-5)(-3)= 15 5-3+4+8-2= 7 (-2)(-6)(0)= 0
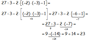
El orden que se sigue para realizar operaciones es la siguiente:
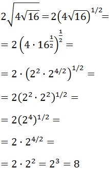
EJERCICIOS:


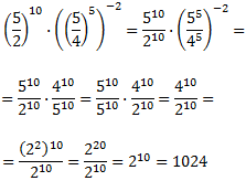
EJERCICIOS:
1.

2.

3.

Todo número compuesto se puede escribir como multiplicación de dos o más factores primos.
Para descomponer un número en producto de factores primos se siguen estos pasos:
1° Se escribe el número a la izquierda de una raya vertical (actúa como "ventana" de división) y a su derecha el menor número primo (2, 3, 5, 7,... ) por el cual dicho número sea divisible. El cociente obtenido se coloca debajo del número propuesto.
2° Se procede como en el paso anterior con el cociente obtenido, y así sucesivamente hasta llegar a un cociente igual a 1.
Ejemplo 1: Realiza la descomposición en producto de factores primos del número 24:

Los números que están a la izquierda de la línea, son los cocientes parciales y los de la derecha, son los factores primos.

| EDAD | FRECUENCIA ABSOLUTA | FRECUENCIA RELATIVA | FRECUENCIA ABSOLUTA ACUMULADA | FRECUENCIA RELATIVA ACUMULADA | MARCA DE CLASE |
| [20-25) | 2 | 2x10/100=20% | 2 | 20% | 20+25/2= 22.5 |
| 5 | 5x10/100=50% | 2+5= 7 | 50%+20%= 70% | 25+30/2= 27.5 | |
| [30-35) | 2 | 2x10/100=20% | 7+2= 9 | 70%+20%= 90% | 30+35/2= 32.5 |
| [35-40] | 1 | 1x10/100=10% | 9+1= 10 | 90%+10%= 100% | 35+40/2= 37.5 |
| TOTAL | 10 | 100% | 120 |
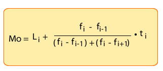
MEDIANA: Es el valor que divide en 2 partes=
MODA: 






